Organização Interna
Instituto Politécnico de Leiria

Unidades orgânicas de ensino e investigação
Escola Superior de Educação e Ciências Sociais (ESECS)
A ESECS desenvolve a sua atividade formativa nas áreas das ciências sociais e humanas, comunicação e formação de professores. Desenvolve, ainda, um conjunto variado e vasto de atividades de investigação e de ligação à comunidade, no âmbito das suas áreas de competência. Isto permite conferir ao ensino que ministra um cariz muito particular, envolvendo estudantes e professores em atividades que potenciam as aprendizagens, quer no sentido da investigação, quer no sentido da sua aplicação prática.
Foi criada como escola autónoma, em 1979, e integrada no Politécnico de Leiria, em 1980. Em 2008, ao abrigo dos novos estatutos do Politécnico de Leiria, a sua designação foi alterada de Escola Superior de Educação para Escola Superior de Educação e Ciências Sociais.

Diretor
José Carlos Marques
Escola Superior de Tecnologia e Gestão (ESTG)
A ESTG forma profissionais nas áreas da engenharia, tecnologia, tecnologias da saúde, gestão, marketing, contabilidade e solicitadoria, desde o ano letivo de 1989/1990. No âmbito da cooperação, a Escola é reconhecida pela forte ligação ao meio empresarial, fruto do estabelecimento de parcerias com empresas, quer da região de Leiria, quer de âmbito nacional, que permitem o desenvolvimento de projetos, a prestação de serviços e a lecionação de aulas em ambiente empresarial.
Atualmente, a ESTG é reconhecida como Academia Cisco, Academia Microsoft, Oracle e, mais recentemente, Siemens, tendo também um conjunto diversificado de protocolos celebrados com outras empresas e instituições.

Diretor
Carlos Alexandre Bento Capela
Escola Superior de Artes e Design (ESAD.CR)
A ESAD.CR é uma escola de artes e design, implantada numa cidade detentora de um vasto património cultural e artístico. Oferece formação graduada, nos domínios das artes plásticas, do design e das artes performativas. Tendo iniciado a sua atividade em 1990, é hoje uma escola reconhecida a nível nacional e internacional, sendo os seus estudantes e professores detentores de numerosos prémios e referências nos meios de comunicação da especialidade. Nesta escola, assume cada vez mais relevância a ligação ao mundo da indústria, especialmente através dos seus cursos em design.

Diretora
Cláudia Alexandra da Cunha Pernencar
Escola Superior de Turismo e Tecnologia do Mar (ESTM)
A ESTM foi criada em 1999 e, desde então, adotou o mar como imagem de marca e suporte da sua identidade. O seu caráter singular no panorama nacional do ensino superior, aliando duas áreas científicas intrinsecamente ligadas ao mar, permite uma forte interação com diversas entidades regionais e nacionais, assim como com o tecido económico da região. A sua oferta formativa é complementada com atividades de I&D desenvolvidas pelos grupos de investigação sediados na ESTM: CiTUR – Centro de Investigação Aplicada em Turismo e Grupo de Investigação em Recursos Marinhos MARE- IPLeiria – Centro de Ciências do Mar e do Ambiente.
A qualidade do ensino é reconhecida internacionalmente, possuindo a certificação TedQual atribuída pela Organização Mundial de Turismo das Nações Unidas. Ao nível da internacionalização, a ESTM integra diversas redes internacionais das quais se destaca o Campus do Mar – International Campus of Excellence, possuindo protocolos de parceria com diversas instituições internacionais.

Diretor
Sérgio Miguel Franco Martins Leandro
Escola Superior de Saúde (ESSLei)
A ESSLei foi integrada no Politécnico de Leiria em 2001, oferecendo formação em enfermagem. Em 2005, a Escola, até então designada por Escola Superior de Enfermagem, transforma-se em Escola Superior de Saúde. Mais do que uma mudança de nome, esta alteração significou a possibilidade de concretizar o alargamento do projecto educativo de nível superior, para lá do limite exclusivo da formação em enfermagem.

Diretor
Rui Fonseca-Pinto
Unidade orgânica de investigação
Centro para o Desenvolvimento Rápido e Sustentado de Produto (CDRSP)
O CDRSP tem desenvolvido atividade na área da engenharia mecânica, aplicada ao desenvolvimento de projetos tecnológicos de investigação, com vista a um desenvolvimento sustentável e eficiente de produtos, materiais e processos.

Diretor
Rui Miguel Barreiros Ruben
Unidades Funcionais
Centro de Apoio ao Estudante (CAE)
Diretora Professora Doutora Eva Patrícia da Silva Guilherme Menino
O Centro de Apoio ao Estudante do Instituto Politécnico de Leiria é uma estrutura dedicada à promoção da saúde mental e do bem-estar da comunidade académica. Desenvolve ações de apoio ao desenvolvimento socioemocional dos estudantes, contribui para o sucesso académico e intervém junto de estudantes com Necessidades Específicas, promovendo a inclusão. Para além do apoio psicológico, CAE desenvolve ainda atividades de investigação e desenvolvimento na área da Psicologia, entre outras iniciativas de apoio à comunidade estudantil.
Centro de Inovação Pedagógica (CIP)
Diretora Professora Doutora Susana Alexandre dos Reis
O Centro de Inovação Pedagógica do Instituto Politécnico de Leiria é uma estrutura dedicada à promoção da inovação e da qualidade das práticas pedagógicas, procurando desenvolver iniciativas que permitam implementar contextos de aprendizagem mais criativos, inovadores e inclusivos.
Este Centro tem como missão apoiar docentes e unidades orgânicas na melhoria dos processos de ensino-aprendizagem, promovendo metodologias centradas no estudante, o uso das tecnologias educativas e o desenvolvimento de competências transversais. Atua na formação pedagógica de docentes, no apoio à inovação curricular, na disseminação de boas práticas e na criação de comunidades de prática, contribuindo para a modernização pedagógica e para o sucesso académico no Politécnico de Leiria.
Centro de Transferência e Valorização do Conhecimento (CPVC)
Diretora Professora Doutora Maria Eduarda da Silva Teixeira Fernandes
O Centro de Partilha e Valorização do Conhecimento do Instituto Politécnico de Leiria é uma estrutura dedicada ao apoio às empresas, promovendo a ligação entre o meio académico e o tecido empresarial. Através da sua capacidade de facilitar, impulsionar e gerir a transferência de tecnologia e de conhecimento, o CPVC contribui para a valorização da investigação, o reforço da inovação e do empreendedorismo, e para o desenvolvimento competitivo das organizações.
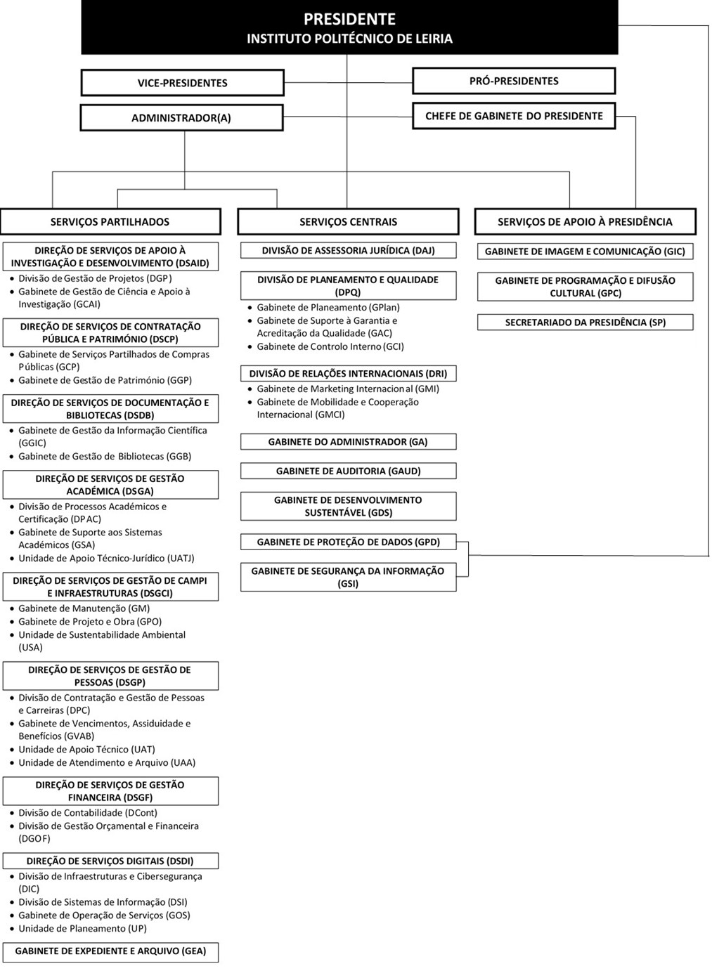
Serviços

Serviços Centralizados
Administradora Dra. Paula Marisa Lopes Gomes
O Instituto Politécnico de Leiria dispõe de serviços centralizados orientados para o apoio técnico ou administrativo às atividades do universo da instituição.
Assentando num modelo estrutural misto, é composto por estruturas hierarquizadas e estruturas de natureza flexível, estabelecidas de acordo com as necessidades da instituição.
Serviços de Ação Social (SAS)
Administradora Dra. Cláudia Andreia Cunha Belém Toneca

Os Serviços de Ação Social são um serviço do Instituto Politécnico de Leiria vocacionado para assegurar as funções da ação social escolar aos seus estudantes.
Estes Serviços têm como missão a execução da política de ação social superiormente definida, de modo a proporcionar aos estudantes melhores condições de integração, de estudo e de bem-estar, através da disponibilização de apoios e serviços que lhes garantam a igualdade de oportunidades e a obtenção de sucesso académico, pessoal e social.
No âmbito da sua atuação, os Serviços de Ação Social disponibilizam apoios diretos – bolsas de estudo, auxílios de emergência e apoios especiais a estudantes com necessidades educativas específicas; e indiretos – serviços de alimentação, alojamento, saúde, atividades culturais e desportivas, pautando-se por uma relação de proximidade com a comunidade académica.
O Serviço de Ação Social ao serviço da comunidade académica do Politécnico de Leiria
Mais informação
Para informações acerca de todos os Serviços do Politécnico de Leiria pode consultar o novo Regulamento em:
Regulamento n.º 246-B/2024 – Regulamento Orgânico dos Serviços do Instituto Politécnico de Leiria



